Übungsklausur Lösung
Start
studies
projects
galleries
sport
links



Informatik 1 - Übungsklausur


Lösung

Übungsklausur

1) Markov-Algorithmus
a)
1.a|-> |a
2.a*-> *b
3.b|-> |cb
4.b-> epsilon
5.c|->|c
6.dc-> |d
7.d->. epsilon
8.|-> a
9.*-> d
10.ac-> c


b) |||*|| -(8)-> a||*|| -(1)-> |a|*|| -(1)-> ||a*|| -(2)-> ||*b||

-(3)-> ||*cb| -(3)-> ||*|c|cb -(4)-> ||*|c|c -(5)-> ||*||cc -(8)-> a|*||cc

-(1)-> |a*||cc -(2)-> |*b||cc -(3)-> |*|cb|cc -(3)-> |*|c|cbcc -(4)-> |*|c|ccc

-(5)-> |*||cccc -(8)-> a*||cccc -(2)-> *b||cccc -(3)-> *|cb|cccc -(3)-> *|c|cbcccc

-(4)-> *|c|ccccc -(5)-> *||cccccc -(8)-> *a|cccccc -(1)-> *|acccccc -(10)-> *|cccccc

-(8)-> *acccccc -(10)-> *cccccc -(9)-> dcccccc -(6)-> |dccccc -(6)-> ||dcccc -(6)-> |||dccc

-(6)-> ||||dcc -(6)-> |||||dc -(6)-> ||||||d -(7)->. ||||||


2) Grammatik
a) Die Grammatik ist CH-3.

b) Die erzeugte Sprache lautet

L = { a* { b c* }* a }

c)


3) Grammatik
G:= ( {S, B, W}, {a,b}, S, P)
P:= { S -> aSW | B,    B -> bBW | bW,     W -> a | b }


Es gibt keine reguläre Grammatik, die diese Sprache erzeugt.

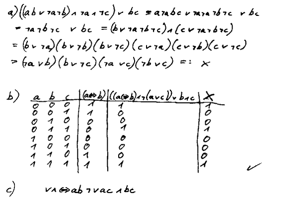
4) Boolsche Algebra



5) Algebra
a)
Get(Ins(Del(Ins(Ins(create,1),2)),3))   (A2)
= Get(Ins(Ins(Del(Ins(create,1),2)),3))    (A1)
= Get(Ins(Ins(create,2),3))    (A4)
= Get(Ins(create,2))   (A3)
= 2

b) Get(Ins(Ins(Del(Ins(create,3)),4),Get(Ins(Ins(create,5),6))))    (A1,A4)
= Get(Ins(Ins(create,4),Get(Ins(create,5))))    (A3)
= Get(Ins(Ins(create,4),5))     (A4)
= Get(Ins(create,4))     (A3)
= 4

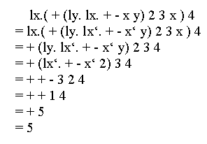
6) Lambda-Kalkül
a)

b)